세계 7대 난제 중 하나인 "푸앙카레 추측" 에 들어가기 전에 오일러 (레온하르트 오일러, 독일어: Leonhard Euler, 라틴어: Leonhardus Eulerus 레온하르두스 에울레루스) 에 대해서 알아보자.
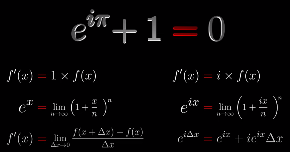
수학에서 가장 아름다운 수로 이루어진 가장 아름다운 공식,,, 오일러 공식

0, 1, π, i, e
이 다섯개가 수학에서 가장 아름다운 수이고, 그 5개의 아룸다운 수로 만들어진 것이 오일러 공식이다. 마치 영어의 모음 (a, e, i ,o, u)처럼 5개로 이루어져 있다.
그럼 희대의 천재, 오일러 라는 수학자에 대해서 알아보자.

스위스 출신의 수학자로 1707년생, 6남매 중 첫째로 탄생했다.
당대 최고의 수학자, 요한 베르누이 (베르누이 법칙을 만든 베르누이 아버지)가 수학 영재로 칭찬한 요한 베르누이의 제자..

13살에 바젤 대학교에 입학, 3년 후인 1723년 16살이 되던 해에 석사학위를 받음. 그리고 3년 후인 1726년 19세에 음향의 전파와 관련된 논문으로 박사학위를 받았다. 10대 때 석사와 박사를 모두 패스...
바젤 대학교 출신이기 때문에 19세애 본인 모교의 물리학과 교수를 지원하게 된다. 하지만 바로 광탈한다. 요한 베르누이의 아들이 두명 있었는데, 그 중에 다니엘 베르누이 (베르누이의 원리를 발견한 사람) 가 당시 러시아 샹트페테르부르크에 러시아 과학 아카데미에서 교수를 하고 있었다. 그가 오일러를 생리학과에 추천하다.
그 결과 20살의 나이로 의학부 준회원이 되고, 러시아 해군의 의무장교로 커리어를 시작하게 된다.

러시아에서 교수로 있던 다니엘 베르누이와 요한 베르누이의 두 아들 중 다른 한 명 , 친형 니콜라스 베르누이가 사고로 익사해서 사망하게 된다. 그러면서 학교 조직이 개편되게 된다.
1731년 24살의 나이로 물리학과 정교수로 임명된다. 생리학과에서 물리학과, 수학과로 가기 위한 험난한 과정이 시작된다...당시 다니엘 베르누이가 수학과 학과장을 하고 있었는데, 학과에서 러시아인들이 베르누이가 외국인 이라고 적대시 하기 시작한다. 결국 러시아의 텃세로 인해 베르누이는 스위스로 돌아간다. 그 때 그 자리를 오일러에게 인수인계를 해준다. 그래서 오일러는 26살때 러시아 최고의 수학자 자리에 오르게 된다.
1734년 27살이 되던 해 화가의 딸과 결혼한다. 그리고 러시아에서 수학 교과서를 집필하기 시작했고, 러시아 정부가 요청한 실용적인 문제들을 전부 해결해 준다. 모든 걸 수학적인 사고로 풀어내어 러시아에서 수학자로 인정을 받게 된다.
1738년에 지도 작성 관련한 연구를 하는 중에 그 과정에서 너무 몰두하다가 고열이 나게 되고, 열은 내리면서 회복은 됐으나 오른쪽 눈의 시력을 잃게 된다. 하지만 오일러는 상황에 굴복하지 않고 연구를 계속 하게 된다.
1741년 러시아의 정치적 혼란 속에서, 러시아에 헌신을 했으나 어쩔 수 없이 독일 베를린 아카데미로 이동한다. (10년 이상 러시아에서 헌신 후 독일로 이동).
베를린 아카데미 수학부장으로 25년간 근무를 하게 된다.
이때, 물리학 쪽에서 뉴턴의 동력학에 해석학을 적용할 수 있다는 것을 보여주는 역학 책을 집필한다. 그게 바로 메카니카 (Mechanica)

오일러의 수라 불리는 e (자연 상수) 라는 기호를 메카니카 집필 때 만들어서 사용했다. 오일러의 수의 존재 자체는 이미 알려져 있었으나 아무도 표기를 하지 않았다. 그래서 오일러가 표기법을 처음으로 만들게 되어서 오일러의 수가 되었다.

그 당시 계몽주의 군주였던 프리드리히 대왕 (프리드리히 2세, 독일어 : Friedrich II )은 사회적인 명망이나 업적들은 나쁘지 않았는데, 수학을 극도로 싫어했다. 오일러의 수학적 능력은 인정했으나, 수학이 싫어서 오일러도 싫어했다.
그래서 오일러와 사이가 좋지 않았던 프랑스의 수학자 달랑베르 (장바티스트 르 롱 달랑베르, 프랑스어: Jean-Baptiste Le Rond d’Alembert) 에게 오일러가 하고 있는 일에 문제점을 찾아오라고 지시한다. 그런데 달랑베르는 이렇게 말했다.
"오일러 대신 다른 수학자를 앉히는 것은 무모한 짓이다" 라고 거절한다.
그래서 프리드리히 대왕이 오일러를 더 싫어하게 된다.

오일러는 프리드리히의 조카에게 자연과학을 가르치기 위해 조카에게 보내는 편지 (독일 왕녀에게 보내는 편지)라는 계몽서를 쓰게 된다.. 하지만 7년 전쟁이 일어나게 된다. 이때 러시아가 베를린을 잠시 함락한다. 러시아 군인들이 베를린을 점령했을 때 물자를 조달하기 위해 베를린에 있던 농장 하나를 약탈하게 된다. 하지만 알고보니 농장 주인의 한명이 오일러였던 것이다. 러시아 장군이 그 사실을 알자마자 그 자리에서 바로 배상을 해준다. 왜냐하면 러시아에서 헌신해 준 오일러의 농장을 약탈할 수 없었기 때문이다.
한편 러시아의 배상을 받은 오일러는 오랫동안 봉사했던 러시아가 여전히 너무 따뜻하게 대해주었고, 베를린은 이이 25년간 봉사했기 때문에 할만큼 했다고 생각한 오일러는 프랑스의 수학자 라그랑주 (조제프루이 라그랑주, 프랑스어: Joseph-Louis Lagrange, 이탈리아어: Giuseppe Luigi Lagrancia 주세페 루이지 라그란차)를 추천해주고 러시아로 돌아가게 된다. 아무도 뭐라고 할 수 없는 오일러의 인성. 베를린에서 많은 핍박을 받으면서도 지산의 할을은 끝까지 다했는데 여전히 잘 대해주는 러시아, 갈수 밖에 없는 상황...

오일러의 기억력은 엄청났다. 오일러가 만든 것이 삼각함수의 sin, cos, tan. 처음에는 삼각함수도 표기 하지 않았다. 이것도 오일러가 처음으로 표기를 했다. 오일러의 수 e를 비롯하여 허수 기호 i, 원주율 π, 함수를 뜻하는 f(x), 모두 오일러가 처음 사용했다.
오일러 공식, 오일러 등식, 오일러 방정식, 오일러의 정리, 오일러 마르케로니 상수, 오일러 지표, 등등 정말 수많은 업적을 남긴 오일러. 그리고 역사항 미해결 난제에도 언급되는 오일러의 이름, 모든 난제에 힌트를 남긴 오일러...
오일러의 식을 기반으로 만들어진 것이 리만 가설의 핵심인 제타 함수 (Zeta Funtion).. 오일러가 제타함수를 만들어 낸 장본인라고 보면 된다. 페르마의 마지막 정리 (x^3 + y^3 = z^3 이 성립하는 수는 없다) 는 페르마가 증명을 하지 않을 것으로 알려졌다. 하지만 오일러가 페르마의 자료를 열심히 뒤져서 x^4 + y^4 = z^4 를 만족하는 x, y, z 는 없다 를 증명한 것을 찾아낸다. 페르마가 증명한 것을 오일러가 뒤져서 찾아낸거다. 그것을 보고 오일러가 x^3 + y^3 = z^3 를 만족하는 x, y, z수는 없다 를 증명한다.

오일러로 유명해진 한 사람이 또 나온다. 20대 초반인 가우스가 오일러를 공격하기 시작한다. 그 때 당시 오일러는 당대 최고의 수학자로 대수학의 기본정리를 증명했는데, 20대 초반의 어린 가우스가 당당하게 공격한다. 오일러가 틀렸고, 자기가 맞는 증명법을 다시 보여주려는 했는데 결국 가우스도 틀렸다. 그렇지만 중요한건 패기가 있었다. .

두 귀가 먼 뒤에 더 많은 음악적 완성을 이끌어 낸 벤토벤처럼 그 점에서 오일러는 수학계의 베토벤과 같다. 1766년 러시아로 돌아가는 오일러. 다시 불러준 러시아를 위해 연구에 몰두한다. 하루 20시간씩 연구에 몰두한 나머지, 결국 건강이 악화되어 백내장이 오게 된다. 백내장으로 두 분이 전부 안보이게 되었지만 개의치 않고 두 분이 안보이는 상태에서 태양과 달과 지구의 위치를 계산하는데 연구 (삼체문제)를 한다. 나중에는 앙레 푸앙카레가 이것은 풀 수 없는 문제라고 증명은 했다.
하지만 그 당시에 오일러는 해가 없다는 것을 몰랐기 때문에 발상의 전환을 해서, 값을 구할 수 없으니 근사치를 구하는 것으로, 대충 구한 값을 식에 집어 넣고 구하고 집어넣고 구하고 반복해서 최대 근사치에 접근하는 방식을 만들어낸다. 근사치에 무한하게 가까워져서 진짜 갑과 거의 같은 값을 가지는 방식을 오일러가 만들어 냈다.
오일러는 그 어떤 수학자보다 많을 책을 썻고, 수학, 광학, 천문학 등 셀 수 없이 많은 책을 썻는데, 단 한 권의 책도 버릴 게 없다
"그렇게 많은 책을 썼는데 어떻게 한 권도 안 빠지고 책 내용이 다 좋은가요?" 라고 묻자 약간 부끄러워 하듯 오일러는 "나보다 저의 펜이 더 똑똑한거 같아요" 라고..
1783년, 하늘이 맑게 갠 어는 날, 여느 때와 다름없이 팽창하는 풍선의 속도를 암산으로 계산하고 연구에 몰두한 오일러. 해가 중천에서 떠서 해는 점점 넘어가는데 친구를 만나서 천왕성의 궤도에 대한 이야기도 나누고, 저녁식사까지 마치고, 즐겨피던 파이프 담배를 피면서 손자들하고 놀아주고 평범한 일상을 보내고 있었는데 갑작스런 뇌출혈로 사망하게 된다.
프랑스의 수학자이자 정치가인 니콜라 드 콩도르세 후작 (마리 장 앙투안 니콜라 드 콩도르세 후작 , Marie Jean Antoine Nicolas de Caritat, Marquis de Condorcet) 이 오일러에게 바치는 추도사에서 이렇게 말했다.

"그의 죽음이 드디어 그의 계산을 멈추었다"
이렇게 해서 오일러 라는 거장의 삶이 마무리가 된다.
수학에서 가장 아름다운 수가 있다.
0, 1, π, i, e
1988년 미국의 한 수학잡지에서 실시한 설문조사에서 수학공식 24개 중 가장 아름다운 공식을 고르는 것이었다. 2년 동안의 투표를 거쳐 나온 결과는 초반에 얘기했던 그 오일러 공식 이었던 것이다. 세상에서 가장 아름다운 수 5가지가 다 들어가 있는 공식...


과연 그러면 오일러의 살아온 삶을 보면 행복했을까?
죽을 때까지 계산만 하다가 양쪽 눈이 멀었고, 결국 조용히 생을 마감,,그러나 현재 세계 3대 수학자에 오일러는 이름이 자주 거론되지 않는다. 오일러의 업적을 수많은 사람디 이해하고 있지만, 욕도 많이 먹고 (프리드리히 대왕), 죽을 때까지 계산만 했는데 과연 그는 행복했을까?
미국의 유명한 논평가 '앤디 루니' 라는 분이 이렇게 말했다.

"모든 사람은 산 정상에 올라 행복하기를 원한다. 하지만 모든 행복과 성장은 당신이 산을 오르고 있을 때만 발생한다."
오일러는 죽기 직전까지 수학이라는 산을 꾸준히 오르고, 정상을 찍어본 적이 없었다. 꾸준히 산을 올랐고 이 산의 끝이 어딘지도 몰랐던 오일러는 아마 정말 행복하지 않았을까?

https://www.youtube.com/watch?v=tl5J1XgNhIU
https://weekly.donga.com/List/3/08/11/2043318/1
'> 우주, 물리, 양자역학, 철학' 카테고리의 다른 글
| 빛, 전자, 양자역학, 입자, 파동, 코펜하겐 해석, 솔베이 회의, 음양, 태극, part 1 (5) | 2021.06.17 |
|---|---|
| 니체, 차라투스트라는 이렇게 말했다, 프리드리히 빌헬름 니체, Also sprache Zarathustra, 정신, 존재 (0) | 2021.06.05 |
| 리만 가설, Riemann hypothesis, Riemann 假說, 리만제타함수, 소수, 양자역학 (0) | 2021.05.05 |
| 전체와 접힌 질서, 데이비드 봄, David Bohm, 양자론 (0) | 2021.03.28 |
| 앨빈 토플러, 권력이동(Power Shift) - 자유, 질서 그리고 우연 (0) | 2021.03.14 |